·论著·

子宫肌瘤患者微创术后泌尿系感染的病原菌分布及血清LRG1、SDF-1水平变化的临床意义

王静 段海霞 贺云云

【摘要】 目的 探究子宫肌瘤患者微创术后泌尿系感染的病原菌分布及血清富亮氨酸的Alpha-2糖蛋白-1(LRG1)、基质细胞衍生因子1(SDF-1)水平变化的临床意义。 方法 选取2022年1月至2024年1月在西北妇女儿童医院治疗的152例子宫肌瘤患者为子宫肌瘤组,根据患者微创术后是否出现泌尿系感染分为感染组(34例)和未感染组(118例),另选同期152例本院体检的健康者为健康体检组。比较血清中LRG1、SDF-1的水平;多因素Logistic回归分析子宫肌瘤患者微创术后发生泌尿系感染的影响因素;ROC曲线分析血清LRG1、SDF-1水平对子宫肌瘤患者微创术后发生泌尿系感染的预测价值。 结果 子宫肌瘤组血清LRG1、SDF-1水平均明显高于健康体检组(P<0.05);子宫肌瘤组中的感染组患者的LRG1、SDF-1水平及子宫肌瘤病程明显高于未感染组(P<0.05);子宫肌瘤病程、LRG1、SDF-1均为子宫肌瘤患者微创术后发生泌尿系感染的影响因素(P<0.05);血清LRG1、SDF-1水平联合预测子宫肌瘤患者微创术后发生泌尿系感染的曲线下面积(AUC)分别为0.851、0.875,二者联合预测的AUC为0.949,二者联合预测优于各指标单独预测(Z二者联合-LRG1=3.244、Z二者联合-SDF-1=2.775,P均<0.01)。 结论 子宫肌瘤患者血清LRG1、SDF-1水平均明显上调,且均为子宫肌瘤患者微创术后发生泌尿系感染的影响因素,二者联合对子宫肌瘤患者微创术后发生泌尿系感染具有较高的预测价值。

【关键词】 子宫肌瘤; 泌尿系感染; 病原菌分布; 富亮氨酸的Alpha-2糖蛋白-1(LRG1); 基质细胞衍生因子1(SDF-1)

子宫肌瘤是一种良性肿瘤,在妇科疾病中较为常见,初期该疾病主要表征为子宫周期性出血、白带较多、经量增多等[1],但是该疾病早期并无明显症状,部分患者存在轻微症状[2]。随着病情逐渐发展,患者会出现子宫出血、不孕不育等严重情况,严重影响患者的生活质量及身体健康[3]。目前,临床中应用微创手术进行治疗,该治疗方式具有安全、创伤小、易恢复的特点,受到广泛关注和青睐,但是存在术后感染的风险,影响患者的恢复情况[4]。富亮氨酸的Alpha-2糖蛋白-1(leucine-rich-alpha-2-glycoprotein1,LRG1)属于分泌蛋白,在机体中调控细胞增殖、凋亡、黏附及免疫应答等生物学过程,且在炎症反应中存在重要作用[5]。研究表明,LRG1是转化生长因子β(transforming growth factor-β,TGF-β)上游的信号分子,通过激活TGF-β信号通路,进而促进血管生成,并对T细胞分化有一定的调控作用,参与机体感染、肿瘤形成、免疫性疾病的发生发展[6]。基质细胞衍生因子1(stromal cellderived factor-1,SDF-1)属于趋化因子,参与机体血管形成及炎症反应等过程,在多种炎症相关的疾病中发挥重要作用[7]。SDF-1主要在机体血管内皮细胞、骨骼、肌肉等细胞组织中发挥作用,在炎性环境中会表达异常上调,参与炎性疾病的发生[8]。但是LRG1、SDF-1在子宫肌瘤患者微创术后泌尿系感染中的作用尚不清楚,因此,本研究通过检查血清LRG1、SDF-1水平,进而分析其对泌尿系感染的预测价值,为评估患者术后情况提供参考。

对象与方法

1.对象:选取2022年1月至2024年1月在西北妇女儿童医院治疗的152例子宫肌瘤患者为子宫肌瘤组,年龄32~51岁,平均(42.4±5.2)岁,有生育史99例,无生育史53例;另外,经时间、年龄的初步筛选,通过单纯随机抽样的方式进行取样,选取同期152例在本院体检的健康者为健康体检组,年龄33~52岁,平均(43.2±5.3)岁,有生育史96例,无生育史56例。两组的一般资料相比均无明显差异(P>0.05),具有可比性。

纳入标准:(1)符合子宫肌瘤相关诊断标准[9];(2)均经过病理学、影像学检查确诊;(3)临床资料完整;(4)自愿参加本试验,并签署知情同意书。排除标准:(1)术前患有慢性感染;(2)患有恶性肿瘤;(3)患有心、肾等重要器官功能障碍;(4)患有血液系统相关疾病;(5)患有自身免疫性疾病;(6)患有其他妇科疾病;(7)近期有过开腹手术治疗;(8)患有精神类疾病。本研究取得本院伦理委员会批准,批号:2022-009。

2.试剂与仪器:离心机(型号NEO15 15R,无锡莱弗思生物实验器材有限公司);酶标仪(型号BAS-2096,江苏百惠森检测科技发展有限公司);LRG1 ELISA试剂盒(货号TD711171,武汉天德生物科技有限公司);SDF-1 ELISA试剂盒(货号TD711027,武汉天德生物科技有限公司);细菌检定仪(型号ATB-Expression,法国梅里埃公司)。

3.方法:所有患者入院后次日及健康者体检当日早晨取空腹静脉血5 mL,离心10 min,分离血清,在-80℃冰箱中保存。采用ELISA对血清LRG1、SDF-1水平进行检测,吸取50 μL血清样品加入96孔板中,放置在37℃孵育1 h后洗涤,加入酶标抗体,放置在37℃孵育1 h后洗涤,加入显色液50 μL,放置在37℃孵育20 min显色,加入50 μL的2 mol/L硫酸终止反应,最后用酶标仪测定。

4.病原菌分离与鉴定:所有患者术后取第3天清晨清洁中段尿液作标本进行细菌培养,用无菌接种环将样本分别接种到琼脂平板上,36℃培养18~24 h。患者微创术后泌尿系感染判定标准[10]为菌落计数革兰阴性菌≥105CFU/mL或革兰阳性菌≥104 CFU/mL则为感染。随后采用细菌检定仪进行细菌鉴定。将感染患者分为感染组(34例),其余为未感染组(118例)。

5.统计学处理:应用SPSS 25.0统计软件进行分析,计数资料以例(%)表示,行χ2检验;计量数据均符合正态分布,以描述,两组比较采用t检验;多因素Logistic回归分析子宫肌瘤患者微创术后发生泌尿系感染的影响因素;受试者工作特征曲线(receiver operating characteristic,ROC)分析血清LRG1、SDF-1水平对子宫肌瘤患者微创术后发生泌尿系感染的预测价值。P<0.05表示差异有统计学意义。

结果

1.病原菌分布:152例患者共有34例患者感染,共培养出58株病原菌,其中革兰阴性菌有39株,占比67.2%;革兰阳性菌有18株,占比31.1%;真菌有1株,为白色念株菌,占比1.7%。见表1。

表1 病原菌分布

种类株数(株)占比(%)革兰阴性菌大肠埃希菌1525.7奇异变形杆菌1017.3肺炎克雷伯菌813.8铜绿假单胞菌46.9鲍曼不动杆菌23.5革兰阳性菌屎肠球菌813.8粪肠球菌58.6表皮葡萄球菌35.2生殖棒状球菌23.5真菌白色念株菌11.7合计58100

2.子宫肌瘤组和健康体检组血清LRG1、SDF-1水平比较:与健康体检组相比,子宫肌瘤组血清LRG1、SDF-1水平均明显升高(P<0.05)。见表2。

表2 子宫肌瘤组和健康体检组血清LRG1、SDF-1水平比较

与健康体检组比较,*P<0.05

组别 例数LRG1(pg/mL)SDF-1(ng/L)子宫肌瘤组15215.6±3.5∗425.7±48.9∗健康体检组1523.3±1.00138.6±15.7

3.临床资料比较:与未感染组相比,感染组患者年龄、BMI及肌瘤最大直径、生育史、流产史、肌瘤类型、高血压、糖尿病的占比均无明显差异(P>0.05),患者的子宫肌瘤病程明显升高(P<0.05)。见表3。

表3 两组临床资料比较

项目感染组(n=34)未感染组(n=118)年龄 [( x±s),岁]43.2±5.342.2±5.1BMI [( x±s),kg/m2]23.6±3.423.7±3.3子宫肌瘤病程[( x±s),年] 4.3±1.5∗3.6±1.2肌瘤最大直径[例(%),cm ] <515(44.1)36(30.5) ≥519(55.9)82(69.5)生育史 有24(70.6)79(67.0) 无10(29.4)39(33.1)流产史 有14(41.2)39(33.1) 无20(58.8)79(67.0)

表3(续)

与未感染组比较,*P<0.05

项目感染组(n=34)未感染组(n=118)肌瘤类型 浆膜下肌瘤15(44.12)55(46.61) 黏膜下肌瘤11(32.35)38(32.20) 肌壁间肌瘤8(23.53)25(21.19)高血压 有13(38.24)27(22.88) 无21(61.76)91(77.12)糖尿病 有9(20.45)29(24.58) 无35(79.55)89(75.42)

表4 子宫肌瘤组和健康体检组血清LRG1、SDF-1水平比较

与未感染组比较,*P<0.05

组别例数LRG1(pg/mL)SDF-1(ng/L)感染组3419.8±3.7∗491.7±50.4∗未感染组11814.4±3.4406.7±48.5

4.感染组和未感染组血清LRG1、SDF-1水平比较:与未感染组比较,感染组血清LRG1、SDF-1水平均明显升高(P<0.05)。见表2。

5.多因素Logistic回归分析子宫肌瘤患者微创术后发生泌尿系感染的影响因素:以子宫肌瘤患者微创术后是否发生泌尿系感染(是=1,否=0)为因变量,以子宫肌瘤病程(实测值)、LRG1(实测值)、SDF-1(实测值)为自变量,多因素Logistic回归分析结果显示,子宫肌瘤病程、LRG1、SDF-1均为子宫肌瘤患者微创术后发生泌尿系感染的影响因素(P<0.05)。见表5。

表5 多因素Logistic回归分析子宫肌瘤患者微创术后发生泌尿系感染的影响因素

指标βSEWaldPOR95%CI子宫肌瘤病程0.8570.3665.4820.0192.361.15~4.83LRG10.7800.3824.1720.0412.181.03~4.61SDF-10.6900.3374.1940.0411.991.03~3.86

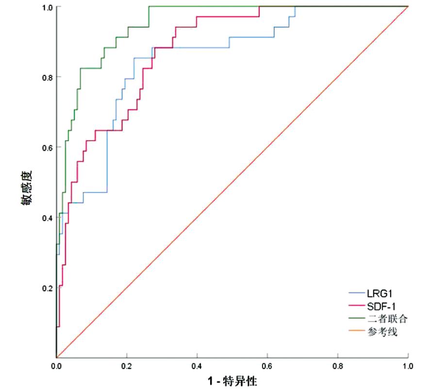
6.血清LRG1、SDF-1水平对子宫肌瘤患者微创术后发生泌尿系感染的预测价值:血清LRG1、SDF-1水平预测子宫肌瘤患者微创术后发生泌尿系感染的ROC曲线下面积(area under the curve,AUC)值分别为0.851、0.875,二者联合预测的AUC为0.949,二者联合预测优于各指标单独预测(Z二者联合-LRG1=3.244、Z二者联合-SDF-1=2.775,P均<0.01),二者联合预测的敏感度为82.35%,特意行为93.22%。见表6和图1。

图1 血清LRG1、SDF-1水平预测子宫肌瘤患者微创术后发生泌尿系感染的ROC曲线

表6 血清LRG1、SDF-1水平对子宫肌瘤患者微创术后发生泌尿系感染的预测价值

变量AUC截断值95%CI敏感度(%)特异性(%)Youden指数LRG10.85117.51pg/mL0.78~0.9085.2977.970.633SDF-10.875426.74 ng/L0.81~0.9288.2472.030.603二者联合0.949—0.90~0.9882.3593.220.756

讨论

子宫肌瘤是女性常见的子宫良性肿瘤,多发于30~50岁女性人群,给患者的心理带来极大的压力,并且严重影响患者的身体健康[11]。该疾病分为单发性子宫肌瘤和多发性子宫肌瘤,多发性子宫肌瘤是因不同克隆细胞生成,随着病情发展,患者的肌瘤体积不断增大,患者出现较为严重的症状,如月经紊乱、白带增多、子宫出血、下腹疼痛等,给患者的心理、生理均带来沉重负担[12]。既往该疾病的治疗常采用手术的方式,随着医疗技术的不断改进,微创术的应用逐渐完善,在临床中受到广泛关注,具有创伤小、恢复快的特点[13]。微创术是通过激光、电能、冷冻的方法破坏瘤体组织,进而取出瘤体,操作简单,但是易出现术后并发症,其中泌尿系统感染是常见的并发症,多是因留置尿管等操作引发,主要感染病原菌为革兰阴性菌[14]。本研究结果显示,34例感染者共培养出58株病原菌,其中革兰阴性菌有39株,占比67.2%,这一结果与既往研究一致[14],另外包括有革兰阳性菌有18株,真菌有1株。

LRG1一种急性时相蛋白,主要在中性粒细胞中表达,当机体受到炎症刺激时会促进LRG1表达,从而诱导中性粒细胞聚集,促使受损部位炎症反应加剧[15]。研究发现,LRG1可通过调控TGF-β信号通路,激活下游smad1/5/8通路,调控血管生成、T细胞分化等,可参与机体肿瘤、免疫性疾病、心血管疾病及炎性疾病等多种疾病的发生[16]。Kamalipooya等[17]研究发现,子宫肌瘤患者血清LRG1水平明显上调,并且LRG1表达水平与患者的病情严重程度相关,可作为子宫肌瘤诊断的有效生物标志物。本研究结果发现,子宫肌瘤患者血清LRG1水平明显高于健康者,且发生泌尿系感染患者血清LRG1水平明显高于未感染患者,说明LRG1水平变化参与子宫肌瘤的发生及术后感染过程,推测可能是LRG1水平上调会激活TGF-β信号通路,从而促进血管生成及炎症因子的释放,促进患者发生炎症反应,进而诱导疾病的发生,可作为有效指标用于临床诊断及术后评估,有利于降低感染率。

SDF-1作为一种促血管形成因子,不仅可以促进血管形成,还可以促进炎症反应加剧,在炎症、肿瘤等各种生理病理过程中发挥重要作用[18]。研究发现,SDF-1是一种蛋白多肽,参与机体炎性反应刺激中性粒细胞及器官浸润的生物学过程,在组织受损感染过程中发挥一定作用,可通过调控T细胞、B细胞,促进促炎因子释放,抑制抗炎因子表达,从而导致炎症反应加剧[19]。Dimova等[20]研究表明,SDF-1可与趋化因子受体4(CXC chemokine receptor 4,CXCR4)相结合共同调控机体术后感染程度,降低局部组织防御能力,诱导炎性因子释放,可促进炎性因子的表达,参与机体感染过程,提高患者病原菌易感性。本研究中,子宫肌瘤患者血清SDF-1水平明显高于健康者,进一步分析可知,发生泌尿系感染患者血清SDF-1水平明显高于未感染患者,提示SDF-1水平表达与该疾病的发生及术后感染相关,可能是通过SDF-1表达上调,促进炎性因子分泌,抑制抗炎因子释放,进而促进患者发生术后感染。

另外,多因素Logistic回归分析结果显示,子宫肌瘤病程、LRG1、SDF-1均为子宫肌瘤患者微创术后发生泌尿系感染的影响因素,应密切关注以上指标,及时进行进一步诊断,制定合理的治疗方案,可有效降低患者术后感染几率。进一步分析可知,ROC曲线分析发现,血清LRG1、SDF-1水平预测子宫肌瘤患者微创术后发生泌尿系感染的AUC值分别为0.851、0.875,二者联合预测的AUC值为0.949,二者联合预测优于各指标单独预测,分析其原因可能是由于联合指标可综合各指标的优势,从而降低感染率。

综上所述,子宫肌瘤患者血清LRG1、SDF-1水平均明显上调,且均为子宫肌瘤患者微创术后发生泌尿系感染的影响因素,二者联合检测对子宫肌瘤患者微创术后发生泌尿系感染具有较高的预测价值。但是本研究仍存在不足之处,缺乏深入研究分析LRG1、SDF-1水平在子宫肌瘤患者泌尿系感染中的作用机制,后续会增加样本量进一步研究。

参考文献

1 徐丕丽,张慧.子宫肌瘤患者血清miR-29和miR-210表达水平变化及临床意义.热带医学杂志,2024,24:522-526.

2 Lee JY,Chung HH,Kang SY,et al.Portable ultrasound-guided high-intensity focused ultrasound with functions for safe and rapid ablation:prospective clinical trial for uterine fibroids-short-term and long-term results.Eur Radiol,2020,30:1554-1563.

3 李欣蕊,石荟莲,王琪.不同术式用于子宫肌瘤患者对性功能、激素水平及创伤相关血清指标的影响.中华保健医学杂志,2023,25:293-296.

4 吴颖.腹腔镜下微创手术治疗子宫肌瘤的临床疗效分析.大医生,2022,7:23-26.

5 陈佳林,李健球,王素丽,等.血清LRG1、GRP78与急诊脓毒症患者继发急性肺损伤的关系研究.现代生物医学进展,2024,24:863-867,914.

6 Javaid F,Pilotti C,Camilli C,et al.Leucine-rich alpha-2-glycoprotein 1 (LRG1) as a novel ADC target.RSC Chem Biol,2021,2:1206-1220.

7 高小梅,何佳颖,朱圆圆,等.肉桂醛调节SDF-1/CXCR4轴对慢性阻塞性肺疾病大鼠气道炎症的影响.临床肺科杂志,2023.

8 Zhang Y,Zhang YY,Pan ZW,et al.GDF11 promotes wound healing in diabetic mice via stimulating HIF-1ɑ-VEGF/SDF-1ɑ-mediated endothelial progenitor cell mobilization and neovascularization.Acta Pharmacol Sin,2023,44:999-1013.

9 周怀君.子宫肌瘤的诊断.中国计划生育和妇产科,2012,4:34-37.

10 中华人民共和国卫生部.医院感染诊断标准(试行).现代实用医学,2003,15:460-465.

11 Zannotti A,Greco S,Pellegrino P,et al.Macrophages and Immune Responses in Uterine Fibroids.Cells,2021,10:982.

12 Yan Y,Liu J,Lawrence A,et al.Prolonged cadmium exposure alters benign uterine fibroid cell behavior,extracellular matrix components,and TGFB signaling.FASEB J,2021,35:e21738.

13 李冉.腹腔镜子宫肌瘤剔除术治疗子宫肌瘤的疗效及安全性分析.实用妇科内分泌电子杂志,2023,1 0:64-66.

14 Morris JM,Liang A,Fleckenstein K,et al.A Systematic Review of Minimally Invasive Approaches to Uterine Fibroid Treatment for Improving Quality of Life and Fibroid-Associated Symptoms.Reprod Sci,2023,30:1495-1505.

15 赵灵芝,宋佩佩,尤崇革.LRG1在炎症性疾病和肿瘤中的研究进展.中国细胞生物学学报,2022,44:2366-2374.

16 Zou Y,Xu Y,Chen X,et al.Research Progress on Leucine-Rich Alpha-2 Glycoprotein 1:A Review.Front Pharmacol,2021,12:809225.

17 Kamalipooya S,Zarezadeh R,Latifi Z,et al.Serum transforming growth factor β and leucine-rich α-2-glycoprotein 1 as potential biomarkers for diagnosis of uterine leiomyomas.J Gynecol Obstet Hum Reprod,2021,50:102037.

18 Cao M,Hu Y,Zhang Y,et al.Self-Assembled KLD-12/SDF-1 Polypeptide Promotes Differentiation and Migration of BMSCs via the Wnt/β-catenin Signaling Pathways.Protein Pept Lett,2022,29:851-858.

19 吉思,宴君,陈其敬,等.血清CyPA、SDF-1及LMR水平与老年ACS患者PCI治疗后再发心肌梗死的相关性.临床和实验医学杂志,2023,22:342-346.

20 Dimova I,Karthik S,Makanya A,et al.SDF-1/CXCR4 signalling is involved in blood vessel growth and remodelling by intussusception.J Cell Mol Med,2019,23:3916-3926.

【中图分类号】 R71

基金项目:陕西省重点研发计划项目(2021SF-208);西安市科技计划项目(20YXYJ0005)

作者单位:710061 西安,西北妇女儿童医院生殖妇科(王静,段海霞);西安医学院第二附属医院产一科(贺云云)

通信作者:贺云云(13629227636@163.com)

(收稿日期:2024-05-14)